Aptiv Announces the Expiration and Final Results of its Cash Tender Offer

Aptiv Announces the Expiration and Final Results of its Cash Tender Offer

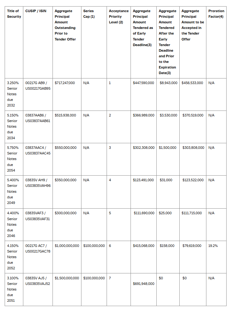
SCHAFFHAUSEN — Aptiv PLC (“Aptiv”) (NYSE: APTV), a global technology company focused on enabling a more automated, electrified and digitalized future, today announced the expiration and final tender results of its previously announced cash tender offer (the “Tender Offer”) by its wholly-owned subsidiary, Aptiv Swiss Holdings Limited, a Jersey incorporated private limited company (the “Company”), to purchase the outstanding notes listed in the table below (collectively, the “Notes” and each a “Series” of Notes) for aggregate consideration of up to $1,371,000,000, exclusive of any accrued interest through the payment date of the Notes (the “Maximum Aggregate Consideration”), in the order of priority, and subject to the Series Caps shown in the table below.

The Tender Offer expired at 5:00 p.m., New York City time, on April 3, 2026 (such date and time, the “Expiration Date”). According to the information provided by Global Bondholder Services Corporation, the aggregate principal amount of each Series of Notes that was tendered and not validly withdrawn as of the Early Tender Deadline and as of the Expiration Date is set forth in the table below.

The Financing Condition for the Tender Offer as described in Offer to Purchase dated March 6, 2026 (as it may be amended or supplemented, the “Offer to Purchase”) has been satisfied. Capitalized terms used but not defined in this announcement have the meanings given to them in the Offer to Purchase.

In accordance with the Offer to Purchase, the Company will accept for purchase the principal amount of each Series of Notes set forth in the table below.


Title of SecurityCUSIP / ISINAggregate Principal Amount
Outstanding
Prior to Tender Offer
Series
Cap (1)
Acceptance Priority Level (2)Aggregate Principal Amount Tendered as of Early Tender Deadline(3)
Aggregate Principal Amount Tendered After the Early Tender Deadline and Prior to the Expiration Date(3)Aggregate Principal Amount to be Accepted in the Tender OfferProration Factor(4)
3.250% Senior Notes due 203200217G AB9 / US00217GAB95$717,247,000N/A1$447,590,000 $8,943,000$456,533,000
N/A
5.150% Senior Notes due 203403837AAB6 / US03837AAB61$515,938,000N/A2$366,989,000 $3,530,000 $370,519,000N/A
5.750% Senior Notes due 205403837AAC4 / US03837AAC45$550,000,000N/A3$302,308,000$1,500,000 $303,808,000N/A
5.400% Senior Notes due 204903835V AH9 / US03835VAH96$350,000,000N/A4

$123,491,000

 $31,000 $123,522,000N/A
4.400% Senior Notes due 204603835VAF3 / US03835VAF31$300,000,000N/A5 $111,690,000$25,000$111,715,000N/A
4.150% Senior Notes due 205200217G AC7 / US00217GAC78$1,000,000,000$100,000,0006$415,068,000 $158,000 $79,619,00019.2%
3.100% Senior Notes due 205103835V AJ5 / US03835VAJ52$1,500,000,000$100,000,0007 
$691,948,000

$0 $0N/A
Aptiv Announces Early Results and Upsizing of Cash Tender Offer

(1) The Series Caps represent the maximum aggregate consideration to be paid to purchase the Notes of such Series pursuant to the Tender Offer.

(2) Subject to the Maximum Aggregate Consideration, the Series Caps and proration, the principal amount of each Series of Notes that will be purchased in the Tender Offer has been determined in accordance with the applicable Acceptance Priority Level (in numerical priority order with 1 being the highest Acceptance Priority Level and 7 being the lowest) specified in this column.

(3) As reported by Global Bondholder Services Corporation, the tender and information agent for the Tender Offer.
(4) In accordance with the terms of the Offer to Purchase, the 4.150% Senior Notes due 2052 (the “2052 Notes”) accepted for purchase are subject to proration so that the Company accepts for purchase the Notes for aggregate consideration of up to the Maximum Aggregate Consideration. The final proration factor has been rounded to the nearest tenth of a percentage point for presentation purposes.

Payment for all Notes accepted for purchase by the Company in the Tender Offer will be made on the settlement date, which is expected to be April 7, 2026 (the “Settlement Date”).
Citigroup Global Markets Inc., Goldman Sachs & Co. LLC and J.P. Morgan Securities LLC are serving as dealer managers for the Tender Offer. Global Bondholder Services Corporation is the Tender and Information Agent. Persons with questions regarding the Tender Offer should contact Citigroup Global Markets Inc. (toll-free) at +1 (800) 558-3745 or +1 (212) 723-6106 (collect), Goldman Sachs & Co. LLC at (800) 828-3182 (toll-free) or at (212) 357-1452 (collect) or J.P. Morgan Securities LLC at +1 (866) 834-4666 (toll free) or +1 (212) 834-4818 (collect). Questions regarding the tendering of Notes and requests for copies of the Offer to Purchase and related materials should be directed to Global Bondholder Services Corporation at (212) 430-3774 or contact@gbsc-usa.com.
This news release is neither an offer to purchase nor a solicitation of an offer to sell the Notes.

About Aptiv

Aptiv is a global industrial technology company enabling more automated, electrified, and digitalized solutions across multiple end-markets. 

Forward-Looking Statements 
This press release contains certain forward-looking statements, including those related to the Tender Offer. Such forward-looking statements are subject to many risks, uncertainties and factors, which may cause the actual results to be materially different from any future results. All statements that address future operating, financial or business performance or Aptiv’s strategies or expectations are forward-looking statements. Factors that could cause actual results to differ materially from these forward-looking statements include, but are not limited to, the following: global and regional economic conditions, including conditions affecting the credit market; global inflationary pressures; uncertainties created by the conflict between Ukraine and Russia, and its impacts to the European and global economies and our operations in each country; uncertainties created by the conflicts in the Middle East and their impacts on global economies; fluctuations in interest rates and foreign currency exchange rates; the cyclical nature of global automotive sales and production; the potential disruptions in the supply of and changes in the competitive environment for raw material and other components integral to Aptiv’s products, including the ongoing semiconductor supply shortage; Aptiv’s ability to maintain contracts that are critical to its operations; potential changes to beneficial free trade laws and regulations, such as the United States-Mexico-Canada Agreement; the effects of significant increases in trade tariffs, import quotas and other trade restrictions or actions, including retaliatory responses to such actions; changes to tax laws; future significant public health crises; the ability of Aptiv to integrate and realize the expected benefits of recent transactions; the ability of Aptiv to attract, motivate and/or retain key executives; the ability of Aptiv to avoid or continue to operate during a strike, or partial work stoppage or slow down by any of its unionized employees or those of its principal customers; the ability of Aptiv to attract and retain customers; Aptiv’s failure to manage Versigent’s transition to a standalone public company; and Aptiv’s failure to achieve some or all of the benefits expected from the Spin-Off and other risks related to the completion of the Spin-Off. Additional factors are discussed under the captions “Risk Factors” and “Management’s Discussion and Analysis of Financial Condition and Results of Operations” in Aptiv’s filings with the Securities and Exchange Commission. New risks and uncertainties arise from time to time, and it is impossible for us to predict these events or how they may affect Aptiv. Aptiv disclaims any intention or obligation to update or revise any forward-looking statements, whether as a result of new information, future events and/or otherwise, except as may be required by law.

 

Contacts

Betsy Frank

Investor Relations